最後の式の変換-01

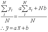
になる理由を考えてみる.この式はつまり,

が成り立てばよい.

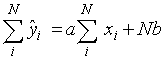
回帰分析において,推定値と実測値との差,ei,の二乗をbで偏微分したものは(ここを参照),

である.両辺をN,で割ると,

となり,まず,二つのうちの後者が成り立ちます.

l t r