二つの方法は一致するか?-02

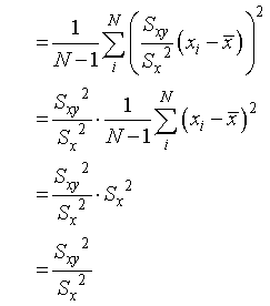
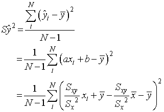
まずは,右辺を書き直してみましょう.

この最後の式の変換は,ここ,をご覧ください.
さらに続けると,

となり,無事,両者が一致することとなります.

つまり,ばらつきから求めた決定係数と共分散から求めた決定係数は一致する,と言うことになります.
ただし....直線近似のみ適用できることになります.詳しくは次ページを見てみましょう.

l t r