最後の式の変換-02

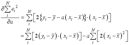
推定値と実測値との差,ei,の二乗の和は,

となります.これを,a,で微分すると,

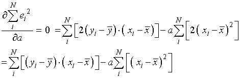
これが,回帰分析の計算により,0となるため,

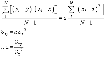
両辺を,N-1,で割ると,

となります.
従って,二つの式が成り立つことが証明されたので,式の変換が成り立ちます.

戻る

l