第二項が0となる理由-03

次に二つ目の項目について. 各点における回帰分析による推定値と実測値との差,ei,の二乗をbで偏微分したものは(ここを参照).

となります.

iについて足しあわせると,,

つまり,

となります.

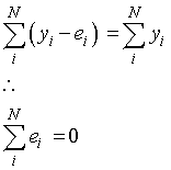
yの推定値を書き換えると,

和をとると,

となり,0となります.

よって,二つとも0となるので,第二項は0となります.

戻る

l