直線近似の場合の誤差の推定
この誤差伝搬法則を使えば,2つ以上の変数がある近似であってもそれぞれのパラメータの誤差を推定することができるのです.
さて,まずは線形近似の場合,
y=a+bx
を検討しましょう(ここ,とパラメータの設定が違いますが,参考サイトに準拠しました).
それぞれのパラメータ,a,bの推定値は,

となります.
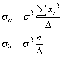
それぞれのパラメータの誤差は,

です(σはそれぞれのセットの誤差の和です).
詳しい計算は,ここ,にアップしました.
y切片がない場合には,
y=ax
パラメータ推定値は,

となります(計算は,ここ,で).
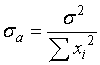
パラメータの誤差は,

となります.
詳しい計算は,ここ,にアップしました.
では,実際にこの計算が正しいかどうか検証してみましょう.