直線近似の場合の誤差の推定(原点を通る直線近似)

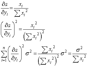
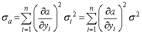
このa,の式を誤差伝搬法則における関数,f,と考えれば,それぞれの誤差は,

を解けばいいわけです.

であるので,

となります.

戻る