直線近似の場合の誤差の推定(切片を持つ直線近似)
この計算は,このサイト,を参考にさせていただきました,ありがとうござます.
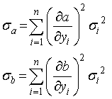
このa,b,の式を誤差伝搬法則における関数,f,と考えれば,それぞれの誤差は,

を計算すればいいわけです.
ここで,σiはそれぞれのセットにおける誤差です.

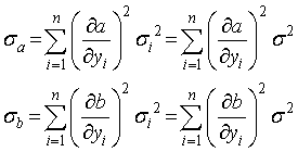
と書き換えられます(σはそれぞれのセットの誤差の和です).
aの計算は,

さて,ここで波括弧の中身は...Δですね!ですので,

と非常に簡単な形となります.
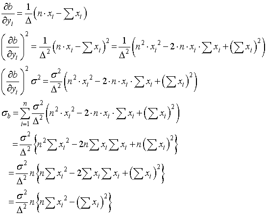
bの計算は,

さて,上と同様に,ここで波括弧の中身は...Δですね!ですので,

とこれまた非常に簡単な形になります.