原点を通る直線近似

原点を通る直線は,

 y=ax

です.実験上は,

 yi = a xi

のセットが存在します.
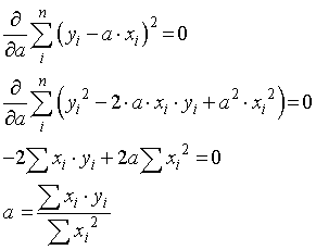
その誤差の総和は,

となり,これをaで微分した値が極値(すなわち,0)になればいいので,

となります.

戻る