正弦波を入力した際の応答,その6

前に述べたように

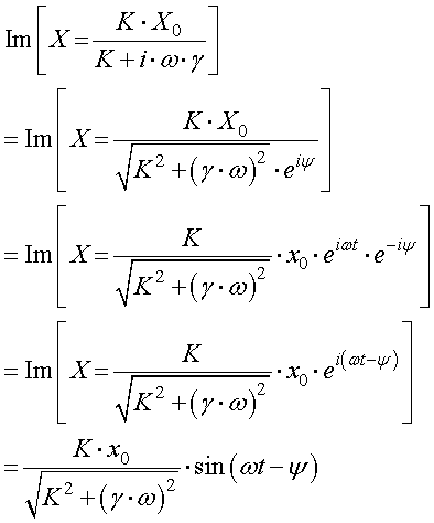
ですので,右辺の分母は,

となれば,指数関数で表すことができますね.
そこで,

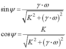
なる三角形を考えればいいですね.
先に出てきたのと,ちょっと違いますが,基本的には一緒です.

ですので,

となり,分母は,

となるのです.
従って,

となり,定常状態においては,前に解いた解と同じとなります.

では,どの程度の振幅,位相が変わるのでしょう?

l t r