正弦波を入力した際の応答,その4

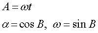
さて,ここで,別の公式を使いましょう,それは,

なるもの.
先ほどの式,

と見比べると,

というBを求めればいいのですよね.
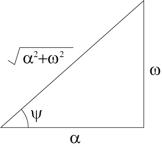
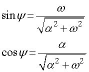
ですので,次のような三角形を考えればいいのです.

そうすれば,

なので,

となります.

さて,ページを替えて,あともう一息.

l t r