正弦波を入力した際の応答,その4

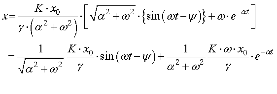
従って,変位,x,は,

ここで,

であるので,

という結果を得ます.
ここで,第二項は時間とともに減衰するので,定常的には,第一項のみとなります.
グラフに書くと,

このように,入力した正弦波(青)に対して,出力波形(赤)は,
 位相がずれている
 振幅が減少している

となります.
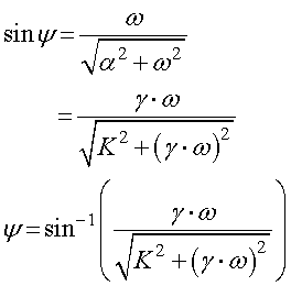
その際の変化量は,

位相:

振幅:

となります.

なかなか長い道のりでした.
では,もう少し簡単に解く方法を考えましょう.

l t r