正弦波を入力した際の応答,その5

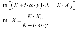
同様に,

を解きます.
ここで,指数関数と三角関数との関係式を思い出しましょう.

つまり,指数関数の虚数項が正弦波となるのです.
この虚数項,というものを式で,
 Im
と表すことにしましょう.
つまり,


となります.

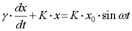
系に対して,正弦波を入力しているので,出力も何らかの正弦波となることは容易に想像できます.
そこで,

と考えると,微分方程式は,

となります.

さて,次に右辺の分母を考えていきましょう.

l t r