二つの方法は一致するか?-03
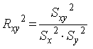
全体のばらつきから求めた決定係数と共分散から求めた決定係数が一致することがわかりました.
これはどのような場合にも一致するのでしょうか?
もう一度見直してみると,
全体のばらつきからの見積もり

共分散の見積もり

となり,
全体のばらつきからの見積もり : 近似曲線を用いた計算
であるのに対して,共分散からの見積もりはあくまで,平均値からのずれ,の計算に過ぎず,近似曲線に依っていません.
さらに,式の変換(詳しくは,ここ,参照)においては,a,bの変換を直線近似に従って計算しており,ほかの近似曲線,指数,べき数などでは成り立たないのです.
つまり,決定係数が二つの方法で一致するのはあくまで直線近似によるものであることがわかります.