ガンマ関数の導出-4

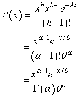
ここで,α≡h,θ≡1/λ,とおくと,

となり,無事にガンマ分布を導き出すことができました.
最後の,階乗からガンマ関数への変換は,ここ,をご覧ください.

このような分布となります.

次に,ガンマ分布の考え方を検討しましょう.