階乗からガンマ関数への変換

これは以下のサイト,階乗の一般化,を参考にさせていただきました.

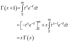
ガンマ関数の定義は,

です.ここで,Γ(x+1),は,

となることがわかります.具体的に数値を入れてみると,

となるように,

とすることができます.
つまり,Γ関数とは,階乗を正の実数まで拡張したもの,ということになります.