ガンマ関数の導出-3

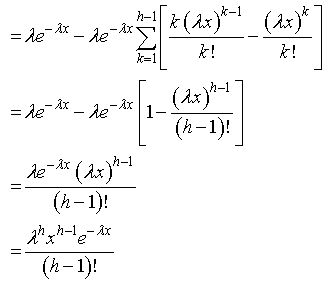
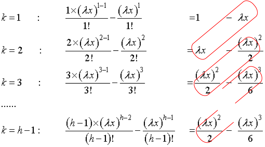
第二項を,一つ一つ計算してみましょう.
すると...

なんと,第一項がちょうど一つ前の第二項と相殺されますので,

と非常に簡単になります.