ガンマ関数の導出-2

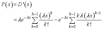
さて,確率密度関数,P(x),と,分布関数,D(x),との関係は,

となりますので,

となります.
ここで,右辺のそれぞれを,k=0,とそれ以外に分けます.
第二項において,k=0,の場合は0となりますので,

となります.何で,こんなことをするかは後ほど説明します.
さて,右辺第2,3項はまとめることができて,

となります.さて,この第二項はどのようにして解けばよいのでしょう?