ガンマ関数の導出-1
では,まず,WolframMathWorld,ではどのようにして導出していくかを見ていきましょう.
説明によると,
Consider the distribution function D(x) of waiting times until the hth Poisson event given a Poisson distribution with a rate of change λ,
とあります.ここで, distribution function,とは,
分布関数
と言う意味ですが,累積分布関数,ともいいます.
つまり,-∞(もしくは∞)から,x,までに該当する確率,と考えればいいでしょう.
と言うことで,D(x),とは,
レート,λ,で起こるランダムなイベントがh回以上起こる確率
と言うことになります,式に表すと,
![]()
となります.
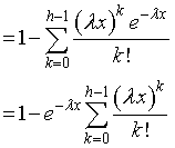
と言うことは,h回未満起こる確率を全体から引いたものに等しいので,
と同じことになります.
ここで,h回未満起こる確率,とは,たとえば,
h=3
とすると,
h=0,1,2
回起こる確率を意味します.このイベントはポアソン過程に従うので,

と置き換えることができます.
次に,累積ではなく,ある,x,に対して起こる確率,確率密度関数,を考えていきましょう.