このβとはどう考えたらよいのでしょう?

ここで,エントロピーの定義を考えます.
![]()
これは,
ΔE:物体のエネルギー
ΔQ:熱の移動 (=TΔS,Tは絶対温度,ΔSはエントロピー)
ΔW:仕事
と考えることができますので,ここでは何も仕事をしていないので,
![]()
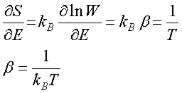
エントロピーとの関係を考えると,

となります.
エントロピーと状態の数は,
![]()
ですので,

とβが何かが明らかになりました.では,前ページに代入してみましょう.

とボルツマン分布を求めることができました.
また,二つの状態の比,は,

となります.
では次ページからいろいろな例を考えていきましょう.