ボルツマン分布,よく聞く言葉ですが,これは,
気体分子などの分子が取り得るエネルギー分布
を表し,その状態は,

と指数関数となります.つまり,
エネルギーが高い状態の分子は少ない
こととなります.
たとえば,
大気中の分子の濃度分布は地面に低いほど高い(位置エネルギーが小さいので)
大気中の分子の運動において,平均速度は指数関数分布となる
などがあります.
では,どのように導出するのでしょうか?ひとつひとつ考えていきましょう.
まずはある系を考えます.
ある系を考える,と言うことは,それ以外の系は考えない,と言うことです.
つまり,ある系以外とのエネルギーのやりとりはない=エネルギーはある系の中で保存している,と言うことです.

これは,
ある小さい系,A,が存在する
その周囲に熱浴,A',が存在する
と言う系で,熱浴A'はとても大きいものと考えてください.つまり,
A << A'
と言うことになります.
ここでの問いは,
系Aがあるエネルギー状態,Er,を持つ確率,Pr,はどの程度か?
を考えていきましょう.
まずは系のエネルギーを考えていきましょう.
閉鎖された系なので,エネルギー保存則が成り立ちます.
E0=Er+E'
ここで,
E0:系全体のエネルギー
Er:系Aのエネルギー
E':熱浴A'のエネルギー
となります.
熱浴A'のエネルギー,E',はいろいろな状態をとることができます.その数を,
W(E') = W(E0-Er)
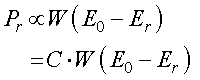
としましょう.その取り得る確率,Pr,は,この状態の数に比例します.

となります.当然のことながら,
![]()
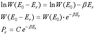
です.ここで,E0 >> Er,であるので,状態の数,W,をテイラー展開します.
テイラー展開とは,

です.さて,次がミソなのですが,
テイラー展開するのは,状態の数,W,ではなく,状態の数,W,の対数
となるところです.第三項以降は無視して,

となります.ここで,

とおけば,

とある熱浴のエネルギー状態,E',を取り得る確率,を求めることができます.
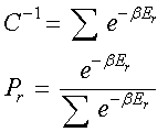
規格化するために,
![]()
であるので,

となることがわかります.
さて,
熱浴A'のエネルギー,E',を取り得る確率,Pr,は,そのまま系Aが Er(=E0-E'),をとる確率ですので,この,Pr,が系Aがあるエネルギー状態,Er,を持つ確率,となるわけです.
と言うことで,その分布は指数関数分布となり,Er,が高くなるほど確率は低くなるわけです.
では....このβとはどう考えたらよいのでしょう?

次ページに行きます.