ボルツマン分布-03

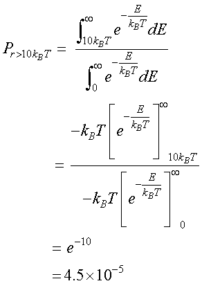
熱平衡において,10kBT以上のエネルギー状態でいる確率

さて,一自由度の持つ平均エネルギーは,等分配の法則,で示したように,

となります.
では,10kBT,以上のエネルギー状態に存在する確率は,

となり,ほとんどあり得ない,という結論になります.

次ページは空気の密度を考えていきましょう.

 

l tr