次は,LとRの断面の長さから考えていきましょう.

境界面の長さは,2h,となります.
ここで,この境界面が動く場合には,差動出力はこの境界面の長さに比例します.
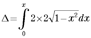
前回と同様に,簡単に,r=1,とします.
すると,この境界の長さは,

となります.
差動出力となるので,2倍,この積分が差動出力となるので,

を計算すればいいことになります.
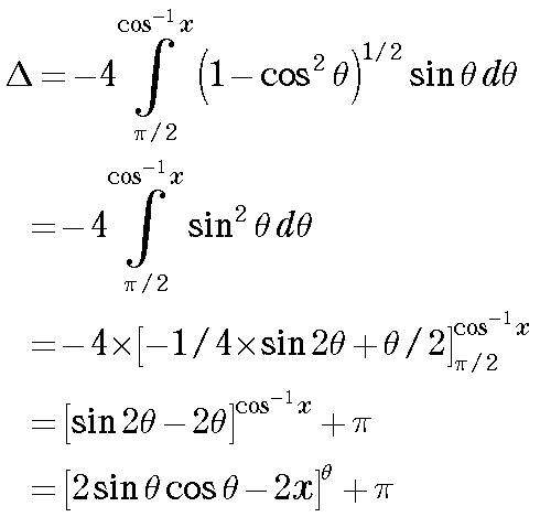
さて,このような積分の場合には,変数変換を使うと便利です.

ここで重要なのが,積分範囲.

さて,実際に計算してみましょう.

ここで,

なので,

となって,見事前ページの結果と一致しました!
では,このカーブはどうなるのでしょう?
それは次のページへ.