さて,実際のカーブはどうなっているでしょう?

xを0から1の間で計算すると,

と言うようになります.
つまり,フォトダイオードに当たった輝点が大体半径の半分ぐらいまでは直線性のよいカーブとなるわけですね.
こういった点をふまえて,実験をしないと,直線性から外れたところで計測した場合,思わぬ結果(まちがった結果)をまねかねないので,注意が必要です.
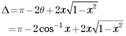
ところで,この実線,原点での傾きを外挿した直線ですが,どのような式になるでしょう?
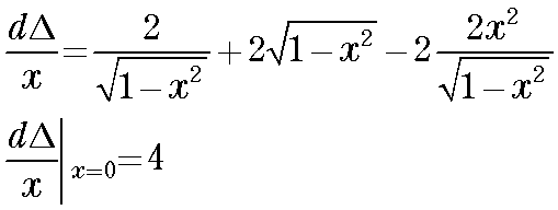
これは,上の式を,x,で微分して,x=0,とすればいいのですが,ややこしいのが,cos-1x.
でも,そんなにややこしくないのです,つまり,

従って,

となり,傾きは4となります.