差動出力は二つの方法で求めてみましょう.
結果的には同じになるのですが,このように別々の方法で求めた結果が一緒になると,
気分がいい
のです.
実際のフォトダイオードには次の図のような光が当たります.

ここでは,2分割のフォトダイオードのイメージを載せていますが,4分割でも基本的には同じことです.
さて,ここである近似を使います.それは
フォトダイオード間の溝は考えない
光強度は均一
です.
これら二つの近似は現実を反映していませんが,生物物理ならこの程度でいいのです.
すると,以下の図のように簡単になります.

このL(黄色)とR(赤)の面積の差が,差動出力となります.
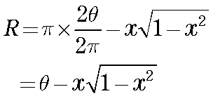
まず,赤いところの面積を計算しましょう.
このとき,簡単のため,r=1,としましょう.
今回はどのようなカーブになるのか,ですので,定量性ではなく,定性的な性質が重要なので,r,の値は何でもいいのです.

ですので,


となります.
それでは,別の解法を説明しましょう.