シミュレーションのすすめ-バネ拘束によるゆらぎ-04
実際の計算には,
K=0.1 pN/nm
の弾性係数を使ってみました.
その際の波形は,

のようになります.
この位置のヒストグラムを解析すると,

と正規分布となります.
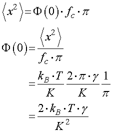
その標準偏差は,6.44 nmとなりました.これは,等分配の法則,

から求めた値,(4.14 pN.nm/0.1pN/nm)1/2=6.43 nmとぴったり一致しました.
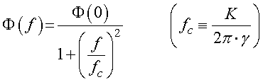
また,パワースペクトル密度を計算すると,

とローレンツ型となりました.
これは,レーザートラップの項目で説明したように,


と一致しました.
このように,バネ拘束されたゆらぎもシミュレーションから導き出すことができます.