シミュレーションのすすめ-バネ拘束によるゆらぎ-03

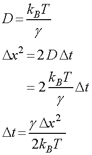
拡散の場合は,ΔxとΔtとの関係は,

から計算されたが,バネ拘束の場合はどのように設定すればよいでしょうか?
それは,アインシュタインの関係式と拡散の法則から,

と決定することができます.

では,実際に動かしてみましょう.

l t r