シミュレーションのすすめ-バネ拘束によるゆらぎ-02
このシミュレーションは,おなじみのモンテカルロ法,ですが,このような場合には,メトロポリス法,と呼ぶようです.
その手順は,
1.+Δxか,-Δxか,を等確率で決定する.
2.その際の,エネルギー変化を考える.
3.エネルギー変化からボルツマン分布を考慮し,受け入れるか,棄却するかを判断する.
4.繰り返す
と言うものです.
1.はモンテカルロ法独特のサイコロなのですが,特に2,3が重要であり,以下に説明します.
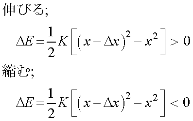
ある地点,xに存在し次のステップ,±Δxの変位を考えると,その際のエネルギー差は,原点に戻る方向(縮む)と,離れる方向(伸びる)で異なり(xが正負の時があるので)ます.
バネの弾性エネルギーは,ここで,示したように,

となります(ここで,Kはバネ定数).
従って,伸びる場合と,縮む場合ではエネルギー変化は,

となり,正負逆転します.その際に,移動できるかどうかはボルツマン分布に従うのです(手順 3.).つまり,

と言う条件があらたにくわわるのです.ここで重要なのは,
伸びる:手順1.の±の確率とボルツマン分布による値の積
です.同様に,縮む方も同様な積なのですが,ボルツマン分布による値が1以上なので,手順1.による確率のみとなります.
ですので,手順1.で縮む方への変位を選んだら,そのまま縮む方向に変位します.
逆に,伸びる方向の場合には,ボルツマン分布に従い,
伸びる もしくは 現状にとどまる
という二つの選択肢となります.
フローチャート(らしきもの)で表示すると,

これを繰り返していくこととなります.
ここで,最初の方は,±Δxの変位,と言っていたのに,後半からは,伸びる,縮む,という言葉に変えたのは,
xの値が正か負か
によって,±Δxの変位が伸びる,縮むで逆になるからです.
次に,ΔtとΔxとの関係を検討しましょう.