バネの自由落下における最下端の位置変化について,計算-3

・ 静止したバネを自由落下させた場合

バネの波動方程式は,

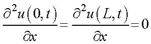
となります.ここで,境界条件は両端ともに自由端であるので,

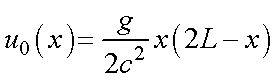
です.初期条件は先に示したように,

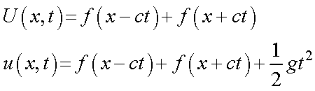
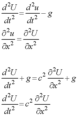
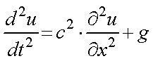
となります.ここで,

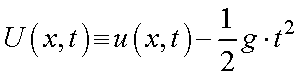
とおくと,

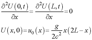
と置き換えることができます. 境界条件は,u(x,t)と同じ,

です.

ここで,ここにあるように,

を元に2L周期の偶関数を作ると,

を得ることができます.

さあ,大詰めです.

 

l t r