・ 波動関数の解法

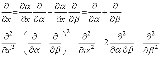
とおき,変数,x,tをα,βに変換します.

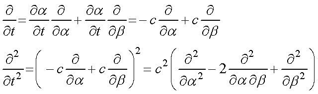
同様に,

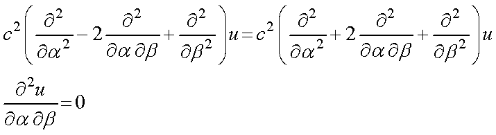
すなわち,波動方程式は,

となります.

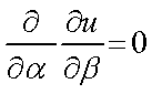
から,はαに依存しません.従って,

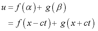
という任意の関数となります.これをβで積分すると,

となり,積分定数,f,はαに依存すると考えてよいこととなります. つまり,

となり,f(x-ct)は正の向きに,g(x+ct)は負の向きに,速度cで動く波となります.

もどる