バネの自由落下における最下端の位置変化について,計算-2
・ 自重を考慮したバネ
バネを鉛直につるした場合のバネののびを考えましょう.
下端はその下にバネが存在しないために,バネののびは0となります.
上に行くほどそこからしたに存在するバネの重さがかかり,伸びが大きくなりますね.
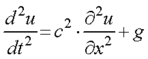
重力を考慮に入れた式は,

となります.
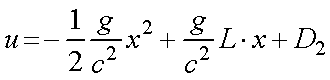
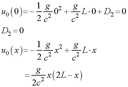
バネの上端を,x=0,下端をx=L,とすると,境界条件は,

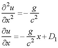
となり,また,弾性力と重力が釣り合って,静止している状態(時間変化はなし)なので,

です.これを解くと,

となり,境界条件から,


境界条件から,

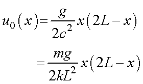
ここで,バネの質量は,m=σ×L,となるので,

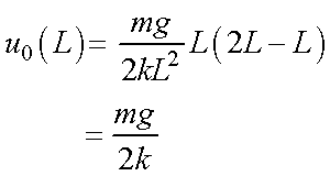
下端の変位は,

つまり,F=kx=mα,のちょうど半分となります.
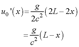
また,各点のひずみ(のび)は微分となるので,

となり,xが増えるにつれ(下端に行くほど),ひずみ量は減少し,下端で0となります.