バネの自由落下における最下端の位置変化について,計算-1
さて,実際に実験をしてみると,確かにバネ最下端は静止していることがわかります?
なぜか?と考えることが重要です.
定性的には,
重力によるバネの落下(下向きの変位)
バネののびが戻る際の上向きの変位
このバランスがちょうどとれて,静止していることが思い浮かびます.
では,計算はどうするのでしょう?
これは...私の力では全くできません.
しかし,きちんと計算して解いてくれている方がおりました.
ですので,以下の計算は,全く私のオリジナルではなく,上記のサイトをなぞったものです.
計算していただいた方,ありがとうございました.
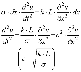
・ バネの波動方程式
バネに伝わる縦波の変位,u(x,t),を考えましょう.
これは,自然長の時に位置,x,にあった部分がx方向に,u(x,t),だけ移動していることを示します.
ここで,ばね定数,k,線密度,σ,を使います.
自然長,L,のバネに張力,F,を加えた時ののびを,ΔL,とすると,

と定義されます.
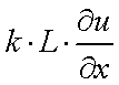
ひずみ,
,対する力は,
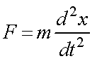
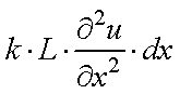
であり,xとx+dxとの間に働く力は,(その微分となり),
となります.
また,力は,

となりますので,

を得ることができます.
なんか...拡散方程式に似ていますね.