一定の時間粒子を注入した場合(ランダムウォークの計算を考える),その3

このように非常にきれいな形と鳴りました.

これは三次元の場合には,ちょうど変数変換において,分母の変数が消えてしまうためで,1,2次元ではそうはいきません.
計算で出せますが,ややこしいので,結果だけを(Mathematicaを使って)お示ししましょう.

一次元の場合;

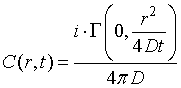
二次元の場合;

となるようです.

次に,p.22の式,(2.12)を考えましょう.

l t r