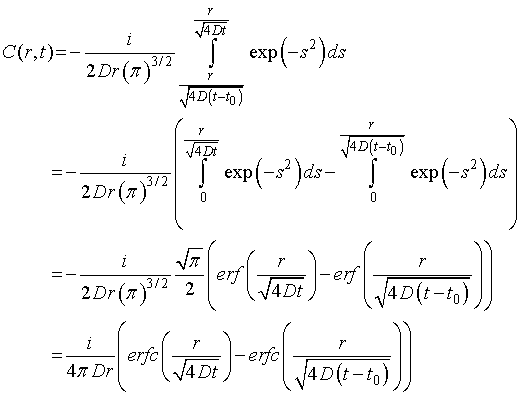
一定の時間粒子を注入した場合(ランダムウォークの計算を考える),その4

式,(2.12)は,注入後(t0以上の時間)の時間変化ですから,積分において積分範囲を変えるだけとなります.

これを計算すればいいのです.
積分範囲の下限が,t-t0,となっているのは,t0,以降の範囲の計算となるからです(ちょっと自信がありませんが....)

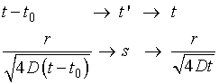
前回と同様に変数変換をすれば,積分範囲は,

となるので,

となります.ここで,注意すべき点は,バーグは補誤差関数,erfc,を使っています.

l t r