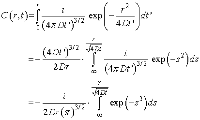
一定の時間粒子を注入した場合(ランダムウォークの計算を考える),その2

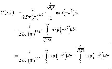
ここで,とおき,変数変換をしましょう.

積分範囲は,

となるので,

となんと!分母の変数,t’,がきれいに消えてしまいます!
ただし,これは三次元のみで,1,2次元は消えません...

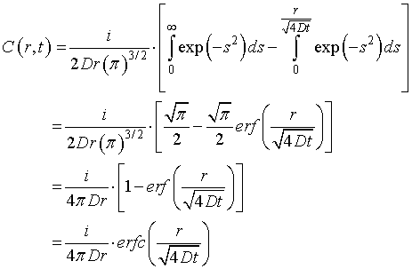
積分範囲を考えて,

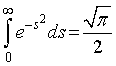
とすれば,第一項に公式,

第二項に,誤差関数,

を使えば,

を得ることができます.

l t r