一定の時間粒子を注入した場合(ランダムウォークの計算を考える),その1
ハワード・C・バーグ著の「ランダムウォーク」は非常に優れた本です.
薄い本でありながら,非常に密度の濃い本です.
その反面..途中の計算が省かれており,そこは読者が考えなくてはなりません.
数学が専門の方は簡単だと思いますが,生命科学の人にとっては...ちょっとしんどいですね.
そこで,一部ですが,数式の過程を私なりに理解して記述したいと思います(間違えていたらごめんなさい).
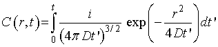
まずは,第2章,拡散:巨視的理論,において,p.21(日本語版),(2.9)式の導出方法を考えましょう.
(2.9)
この式は,前の式,(2.8),の三次元拡散方程式において,長さt0の間粒子を注入したばあいの,注入中(t≦t0)における地点r,時刻tにおける濃度の様子を示しています.

ここで,D:拡散定数,N=i dt:1秒あたりi個の割合で粒子が注入,r:中心からの距離
これは比較的簡単で,時刻t=0からtまでを積分すればよいのです.

次ページに進みましょう.