アインシュタイン・スモルコフスキーの関係式
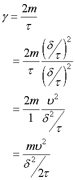
さて,先に定義した,摩擦抗力係数,

この右辺の分母,分子に同じ値,(δ/τ)2,を掛けてみましょう.

ここで,まず,分母に注目しましょう.これって,

ですよね?
分子は,まだ説明していませんが,等分配の法則,

を使って,変形すると,

となります.
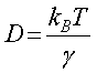
ここで,
kB:ボルツマン定数
T:絶対温度
です.
この式を,
アインシュタイン・スモルコフスキーの関係式
と呼びます.
アインシュタインは,相対性原理で有名ですが,拡散運動においても非常に貢献した方ですね.
書き換えると,

となり,拡散定数,D,の物理的な意味が理解できると思います.
生体分子においては,絶対温度はそれほど変わりませんから,拡散の程度はその物体の大きさ,形状のみに依存することになります.
(4度と37度でも,(273+37)/(273+4)=1.12,10%程度)
では,次に具体的な値を入れて,その大きさを実感しましょう.