さて,では,具体的な値
直径10nmの球体
を考えてみましょう.
まあ,大体タンパク質程度の大きさですね.
ここでは,その物体の質量,は考えなくてもかまいません.
水中で浮力が働きますし,タンパクの比重はほとんど1ですから.
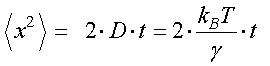
先ほどの,拡散方程式,

から計算してみましょう.
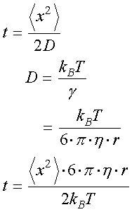
球体の摩擦抗力係数,γ,はストークスの法則を使って,
![]()
と表すことができます.
ここで,η,は溶液の粘度で,水の場合,20度で,大体
η=10-3[Pa・s]
となります.
また,r,は球体の半径です.
直径,10nmなので,
![]()
拡散方程式を変形して,

となります.
ボルツマン定数,kB,は1.38×10-23 J/K.
絶対温度,T,を,300 K,とおくと,

となります.この値は結構役に立つ値なので,覚えておいて損はありません.
さて,では,直径10nmの球体が,移動するには,どのぐらいの時間がかかるのでしょう?
次ページをご覧ください.