さて,前と同じように,1次元の拡散運動を考えます.
前回は,全く外力のない状態を想定しましたが,今回は,
外力,F
が物体に及ぼしている状態を考えましょう.
この,F,は何でもかまいません,重力でも,電場でも,磁場でもかまいません.
となると,質量mを持つ物体は拡散運動しながら,一方向に変位していきます.
これを,
ドリフトのある拡散
と呼びます.

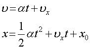
質量,m,の物体に,F,の力が働いている訳なので,そのときに生じる加速度,α,は,
![]()
となります.
速度,変位は,

と計算できます.
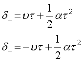
この際,
δ=vτ
は+-の値をとり得るので,

の二通りをとると考えることができます.
左右にとり得るけど,外力分,バイアスがかかる,という意味ですね.
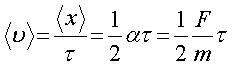
平均の位置は,+-それぞれ等しいので,

となり,速度の平均は,

と書き換えることができます.
ここで,

とおくと,

と言う非常に簡単な関係式となります.
ここで,f,を摩擦抗力係数,と呼びます.
つまり,拡散を伴う運動において,その速度は,
力に比例し
摩擦抗力係数に反比例する
となります.
では,次に,この,f,摩擦抗力係数,と,D,拡散定数,との関係を見ていきましょう.