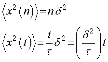
さて,先のルール1では,
1.各粒子は速度vでτ秒ごとにδ=vτだけ,右か左に移動する
でしたね.つまり,
時刻tにおいては,t=nτ
その際の,ステップ数はn
と言うことになります.
書き換えると,

となり,さらに,

とすると,
![]()
という有名な拡散の式を導き出すことができるのです.
ここで,D,を拡散定数,と呼びます.
次元は,
m2/s
となります.
適当に決めたステップの間隔,δ,とステップの時間,τ,がなんであの有名な拡散定数になるの?と言う疑問は後ほどに.
この拡散方程式で一番重要なことは,
平均自乗変位(長さの自乗の次元)が時間に比例する
と言うことです.
距離(長さの次元)と時間が比例する
訳ではないのです.
グラフで表すと,

となり,時間と自乗平均変位とが比例関係にあり,その傾きは,
2D
となります.
何で,Dにしなかったの?2が余計?
追々説明します.
当然ながら,平均の移動距離は,

となりますね.
では,なぜ,Dでなくて,2Dなのか,そもそもDの物理的な意味は何なのか,を次ページで説明しましょう.
と言っても,これはバーグのランダムウォークの説明を記述したものなので,正確には,ランダムウォークを見てください.