では,拡散の程度はどのようにして評価すればいいのでしょう?
平均では,左右の確率が等しいので,いつまでたっても平均は0.
でも,拡散のしやすさ,しにくさ,はありますね.
水の中にインクをたらしたときと,ハチミツの中とでは,広がり方が全然違いますね.
そこで,登場するのが,
自乗平均
なのです.
こうすれば,左右,+-,で打ち消されていたものが,浮かび上がってきます.
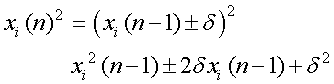
さて,n番目の粒子の位置は,
![]()
その自乗は,

となります.
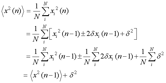
この平均値は,

ですね.
第2項の先の平均値の求め方のように,0となります.
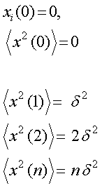
このような計算結果をさらに推し進めるためには,n=0の場合から,順に計算していき,規則性を見つけていくのが簡単です.

という規則性が見つかりますね.
次ページへ続く....