シミュレーションのすすめ
まず,1次元の空間を考えます.
粒子は,この1次元上しか運動できない,とします.
そして,条件として,
1.各粒子は速度vでτ秒ごとにδ=vτだけ,右か左に移動する
2.左右に移動する確率は1/2で等しい
3.各粒子は他のすべての粒子と無関係に動く
というものを与えます.

この条件下で,nステップ後に粒子がどこにいるかを考えます.
もちろん,左右,ランダムに動きますので,各粒子の絶対的な位置は,わかりません.
しかし,N個の粒子の平均の位置,広がりぐらいは評価できますね.
まず,N個の粒子の集合を考えます.
そして,nステップ後の位置をxi(n)としましょう.
すると,iという粒子のn番目の位置は,
![]()
となります.
つまり,1個前の位置の左右どちらかの位置,となります.
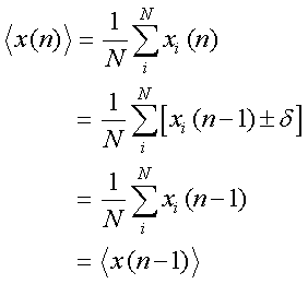
全粒子の平均は,

となります.
つまり,nステップ後もn-1ステップ後も平均の位置は変わらない.
平均の位置は,ずっと変わらない,と言うことになります.
では,初期値,n=0の場合はどうなるでしょう?
それは当然,
![]()
となります.
つまり,1次元の拡散運動の場合,平均位置はずーっと,0,なのです.