正弦波を入力した際の応答,その2

式は,以下のようになります.

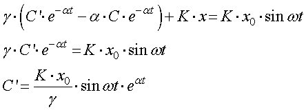
先ほどと同様に,右辺を0とおいて解き,定数項を時間の変数として,代入します.

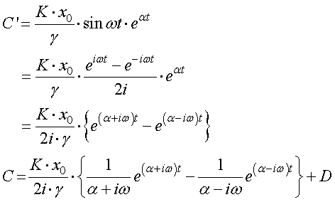
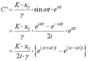
さて...この指数関数と,正弦波が入った式の積分はややこしいですね....
そこで,正弦波を指数関数で表しましょう.

従って,

となるので,積分は,

となります.

次ページに行きます.

l t r