正弦波を入力した際の応答,その3

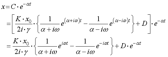
さて,変位,x,は,

となります.
さらに,

と単純化できます.
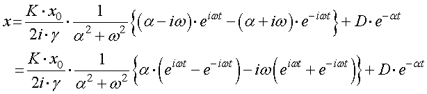
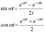
さらに,単純化のために,指数関数と三角関数との対応を使いましょう.

従って,

とかなり単純になりました.

つぎに初期条件を入れてみましょう.

l t r