矩形波を入力した際の応答,その2

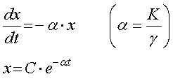
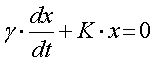
上の方程式を解くには,まず,

を解きます.式を変形して,

となります.
ここで,C,は定数です.
さて,今までは右辺が0の場合でしたが,右辺を元に戻して,さらに,定数,C,を,t,の変数としましょう(詳しくは参考書を読んでくださいね).
すると,

となります.
ここで,左辺第二項と左辺第三項は同じ(符号が逆)なので,なくなります.
従って,

次ページへ続きます.

l t r