矩形波を入力した際の応答,その2

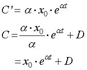
では,C',を積分しましょう.

となります.D,は今度は定数です.
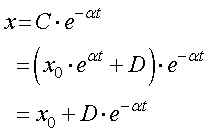
従って,変位,x,は,

となります.
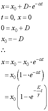
ここで,定数Dを決めるために,初期条件を決めましょう.
単純に,

とすれば,

となります.
グラフに書くと,

となり,ある時間遅れを伴って,じょじょに与えた変位,x0,に近づいていくことがわかります.
その時定数が,K/γ,となるわけですね.

では次に,矩形波ではなく,正弦波を与えたときの変位を考えましょう.

l t r