矩形波を入力した際の応答,その1

さて,粘性と弾性が支配する世界に矩形波を入力したらどのように応答するのでしょう?
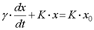
下図のモデルを考えていきましょう.

直感的に,
 粘性が低ければ,そのまま変位に追従して動く(X0=X)
  粘性が高ければ,動きにくくなる。
  弾性が高ければ,粘性に打ち勝って,追従して動く

となるのはわかるでしょう.

では,以下の式を解いていきましょう.

l t r