運動方程式の解法(粘弾性の場合)

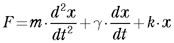
運動方程式を解くには微分方程式を解かなくてはなりません.

しかし,2階微分方程式を解くのは結構大変です.
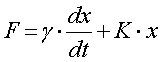
溶液系ではほとんど慣性力は無視できるので,慣性力が働かない系として,粘弾性が支配する世界に単純化して,解いてみましょう.

ここでは,二つの解を解きます.
 矩形波を入力した際の応答
 正弦波を入力した際の応答

です.

l t r