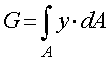
・断面一次モーメント
ある物体に対する曲げをかんがえていきましょう.
まずは,ある物体の断面を見てみましょう.

この物体が断面に均等に応力,σ,が働くとします.
回転軸から,y,離れた微小面積,dA,
に働く曲げモーメントは,
![]()
となります.
このうち,σ,を除して,全断面積で積分したもの,

を,断面一次モーメント,と呼びます.
この次元は,距離×面積,ですので,m3,となります.曲げモーメントの次元は前ページにあるように,Nm,なので,モーメントと名乗っていても次元が違いますよね.
これで,ひっかっかってしまったのですが,断面一次モーメントでは,便宜上,モーメント,と名乗っているだけなのかもしれません.
さて,この断面一次モーメント,もし回転軸が物体の中心にあったなら,

断面一次モーメントの値は0になってしまいますね(積分における,y,の値が正負の値なので).
断面の形状が物体の変位にどう関わるかが知りたいので,これでは困ります.
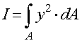
そこで,登場するのが,断面二次モーメントなのです.
・断面二次モーメント
これは,簡単,単に距離,y,を二乗にしただけです.

特徴は,
必ず,0以上の値となる
次元は,m4,となる
ことです.
この断面二次モーメントが非常に重要なパラメータとなってきます.
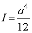
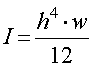
また,断面の形状によってその値が変わります.
代表的な例として,断面の形状が,
・正方形(一片,a)(計算はここ)

・長方形(幅,w,高さ,h)(計算はここ)

・円(半径,r)(計算はここ)

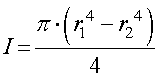
・パイプ(外径,r1,内径,r2)(計算はここ)

となります.