断面二次モーメントの計算(円,パイプ)

 

・円(半径,r)

半径,r,の円の断面を考えます.

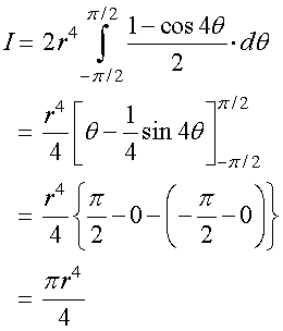
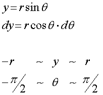
ここで,

なので,

ここで,

より,

となります.

パイプの場合には,外周の円と内周の円それぞれ計算してから差分をとればいいので,

となります.

戻る