断面二次モーメントの計算(正方形,長方形)

 

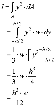
・長方形(幅,w,高さ,h)

幅,w,厚み,h,の断面を考えます.

断面が正方形の場合は,h=w=a,となるので,

となります.

戻る